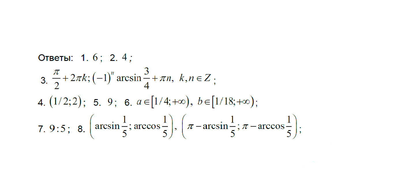
Условия и Ответы

ДВИ-2019

Скачать Вариант в формате PDF можно по ссылке.