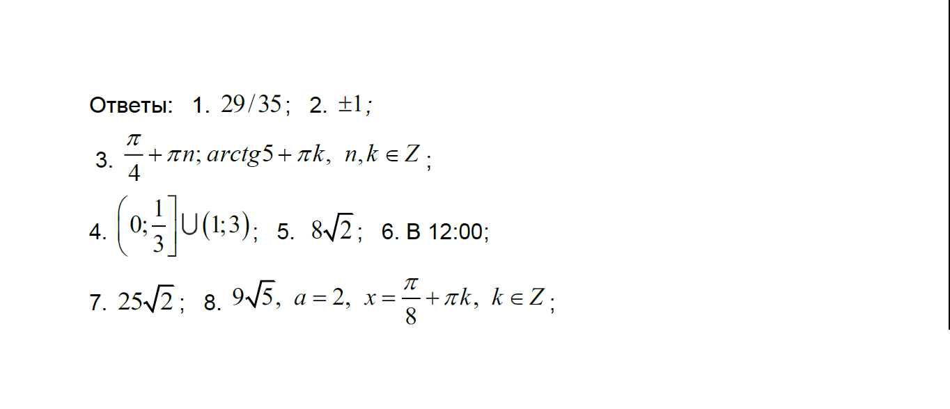
Условия и Ответы

ДВИ-2016

Скачать Вариант в формате PDF можно по ссылке.